无障碍浏览
首页
>
基层政务公开
> 屏山镇人民政府
>
社会救助领域
>
最低生活保障
信息分类:
内容分类:
最低生活保障
发文日期:
2025-09-29 10:39:32
生成日期:
2025-09-29 10:39:32
生效时间:
废止时间:
发布机构:
屏山镇人民政府
文 号:
名 称:
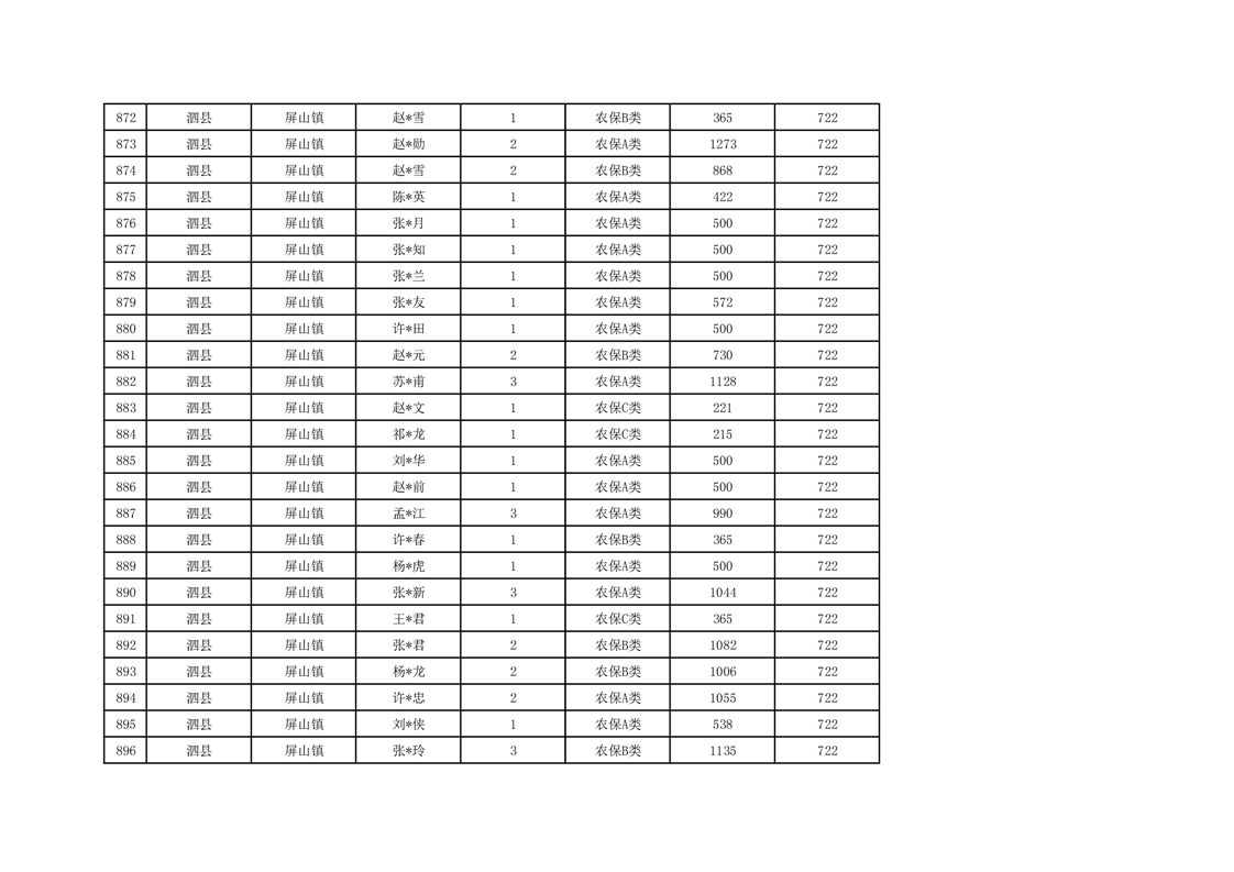
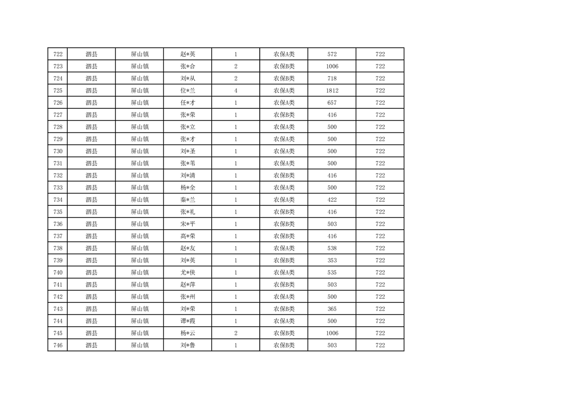
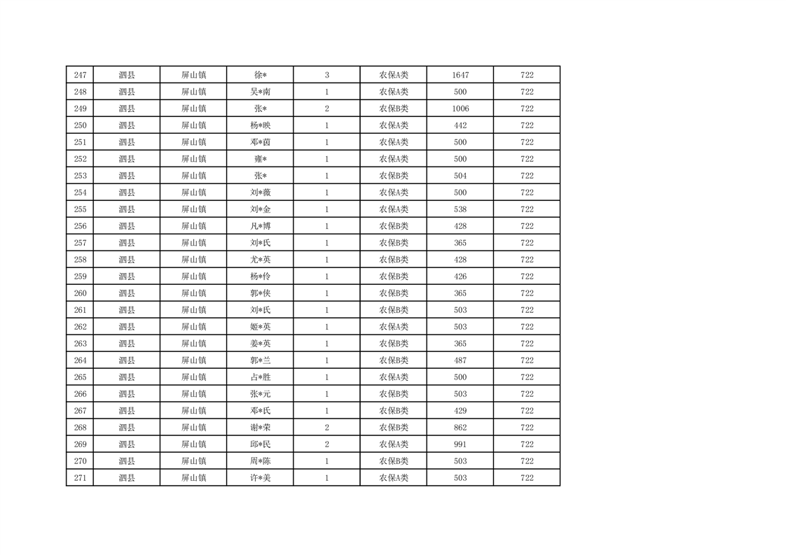
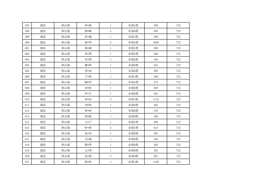
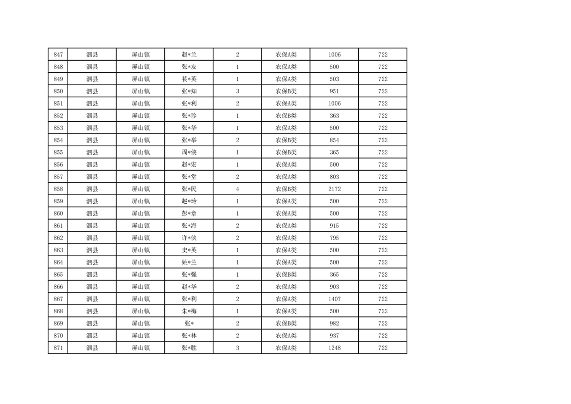
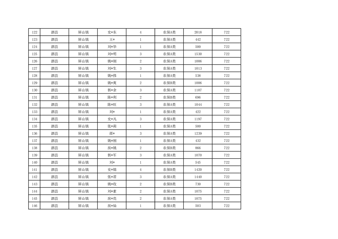
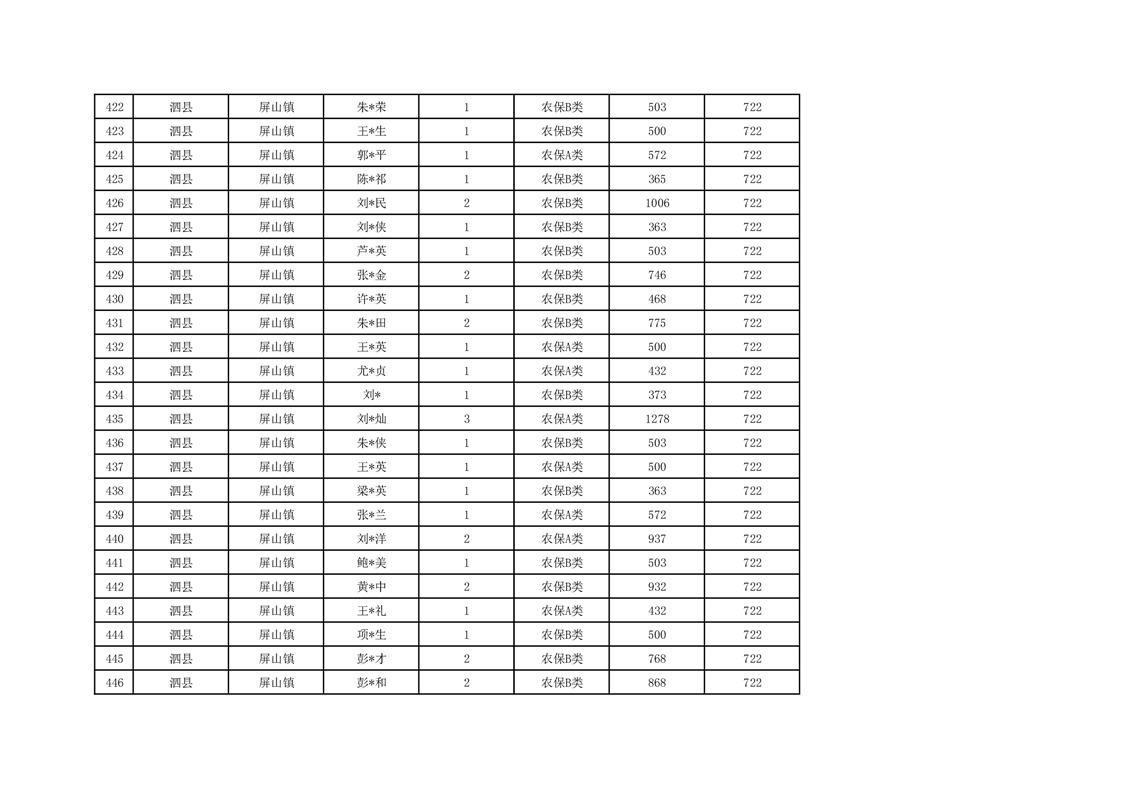
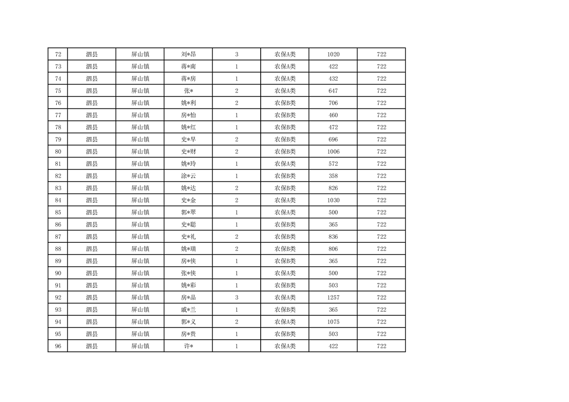
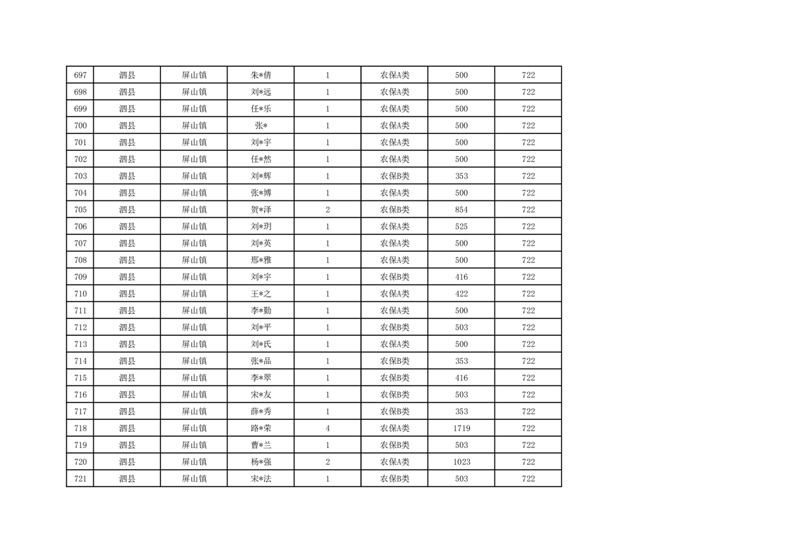
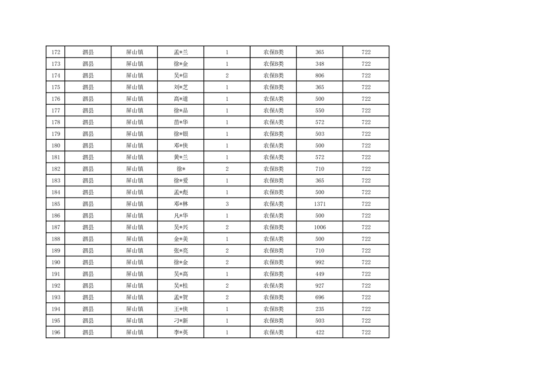
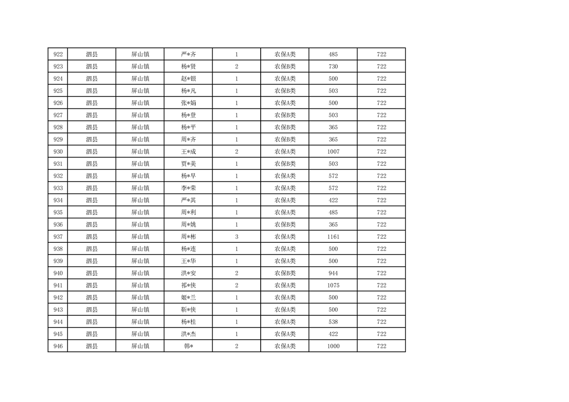
【分配结果】屏山镇2025年9月农保资金发放花名册
关
键
词:
【分配结果】屏山镇2025年9月农保资金发放花名册
文章来源:屏山镇人民政府
浏览量:
发表时间:2025-09-29 10:39
责任编辑:路江峰
字体大小:
【
大
中
小
】
打印