无障碍浏览
首页
>
基层政务公开
> 山头镇人民政府
>
社会救助领域
>
特困人员救助供养
信息分类:
内容分类:
特困人员救助供养
发文日期:
2024-05-01 10:48:46
生成日期:
2024-05-01 10:48:46
生效时间:
废止时间:
发布机构:
山头镇人民政府
文 号:
名 称:
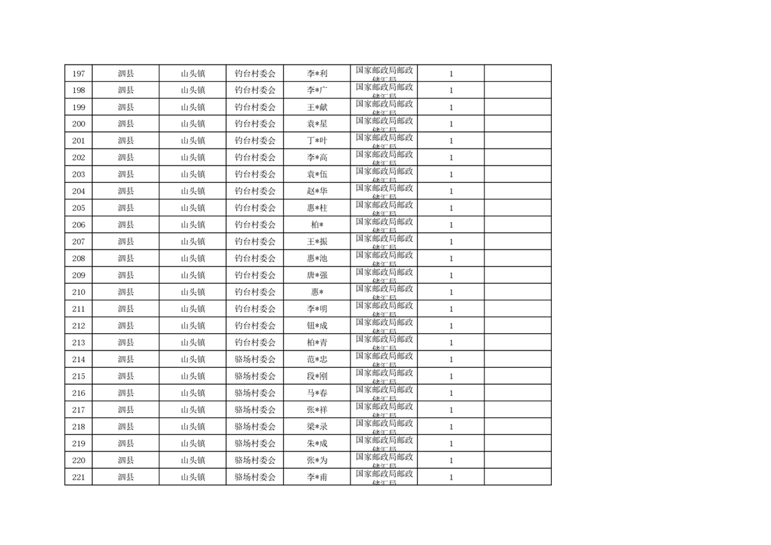
泗县山头镇2024年4月特困资金发放统计表
关
键
词:
泗县山头镇2024年4月特困资金发放统计表
文章来源:山头镇人民政府
浏览量:
发表时间:2024-05-01 10:48
责任编辑:李超逸
字体大小:
【
大
中
小
】
打印